This is an old revision of the document!


Regression Models

General audience classification iconGeneral audience classification iconGeneral audience classification icon

Introduction

While AI and especially Deep Learning techniques have advanced tremendously, the fundamental data analysis methods still provide a good and, in most cases, efficient way of solving many data analysis problems. Linear regression is one of those methods that provide at least a good starting point to have an informative and insightful understanding of the data. Linear regression models are relatively simple and do not require significant computing power in most cases, which makes them widely applied in different contexts. The term regression towards a mean value of a population was widely promoted by Francis Galton, who introduced the term “correlation” in modern statistics[1, 2, 3].

Linear regression model

Linear regression is an algorithm that computes the linear relationship between the dependent variable and one or more independent features by fitting a linear equation to observed data. In its essence, linear regression allows the building of a linear function – a model that approximates a set of numerical data in a way that minimises the squared error between the model prediction and the actual data. Data consists of at least one independent variable (usually denoted by x) and the function or dependent variable (usually denoted by y). If there is just one independent variable, then it is known as Simple Linear Regression, while in the case of more than one independent variable, it is called Multiple Linear Regression. In the same way, in the case of a single dependent variable, it is called Univariate Linear Regression. In contrast, in the case of many dependent variables, it is known as Multivariate Linear Regression. For illustration purposes in the figure below, a simple data set is illustrated that was used by F. Galton while studying relationships between parents and their children's heights. The data set might be found here: [4]

 Galton's data set
Figure 1: Galton's data set

If the fathers' heights are Y and their children's heights are X, the liner regression algorithm is looking for a liner function that, in the ideal case, will fit all the children's heights to their parent heights. So, the function would look like the following equation:

 Linear model
Figure 2: Linear model

Where:

  • Yi – ith child height
  • Xi – ith father height
  • β0 and β1 y axis crossing and slope coefficients of the liner function correspondingly

Unfortunately, in the context of the given example, finding such a function is not possible for all x-y pairs at once since x and y values differ from pair to pair. However, finding a linear function that minimises the distance of the given y to the y' produced by the function or model for all x-y pairs is possible. In this case, y' an estimated or forecasted y value. At the same time, the distance between each y-y'pair is called an error. Since the error might be positive or negative, a squared error is used to estimate the error. It means that the following equation might describe the model:

 Linear model
Figure 3: Linear model with estimated coefficients

where

  • Y'i – ith child height estimated by the model
  • Xi – ith father height
  • Β’0 and β’1 y axis crossing and slope coefficients' estimates of the liner function correspondingly, which minimises the error term:
 Model error
Figure 4: Model error

The estimated beta values might be calculated as follows:

 Coefficient values
Figure 5: Coefficient values

Where:

  • Cor(X,Y) – Correlation between X and Y (capital letter mean vectors of individual x and y corresponding values)
  • σx and σy – standard deviations of vectors X and Y
  • µx and µy – mean values of the vectors X and Y

Most modern data processing packages possess dedicated functions for building linear regression models with few lines of code. The result is illustrated in the following figure:

 Galton's data set
Figure 6: Galton's data set with linear model

Errors and their meaning

As discussed previously, an error in the context of the linear regression model represents a distance between the estimated dependent variable values and the estimate provided by the model, which the following equation might represent:

 Coefficient values
Figure 7: Coefficient values

where,

  • y'i – ith child height estimated by the model
  • yi - ith childer height true values
  • ei - error of the model's ith output

Since an error for a given yith might be positive or negative and the model itself minimises the overall error, one might expect that the error is normally distributed around the model, with a mean value of 0 and its sum close to or equal to 0. Examples of the error for a few randomly selected data points are depicted in the following figure in red colour:

 Galton's data set
Figure 8: Galton's data set with linear model and its errors

Unfortunately, knowing the following facts does not always provide enough information about the modelled process. In most cases, due to some dynamic features of the process, the distribution of the errors is as important as the model itself. For instance, a motor shaft wears out over time, and the fluctuations steadily increase from the centre of the rotation. To estimate the overall wearing of the shaft is enough to have just a max amplitude measurement. However, it is not enough to understand the dynamics of the wearing process. Another important aspect is the order of magnitude of the errors compared to the measurements, which, in the case of small quantities, might be impossible to notice even if the modeller illustrated the model. The following figure might illustrate the following situation:

 Error distribution example
Figure 9: Error distribution example

In this figure, both small error quantities and progression dynamics are illustrated. Another example of cyclic error distribution is provided in the following figure:

 Error distribution example
Figure 10: Error distribution example

From this discussion, a few essential notes have to be taken:

  • Error distributions (around 0) should be treated as carefully as the models themselves;
  • In most cases, error distribution is hard to notice even if the errors are illustrated;
  • It is essential to look into the distribution to ensure that there are no regularities.

If any regularities are noticed, whether a simple variance increase or cyclic nature, they point to something the model does not consider. It might point to a lack of data, i.e., other factors that influence the modelled process, but they are not part of the model, which is therefore exposed through the nature of the error distribution. It also might point to an oversimplified look at the problem, and more complex models should be considered. In any of the mentioned cases, a deeper analysis should be considered. In a more general way the linear model might be described with the following equation:

 Linear model
Figure 11: General notation of a linear model

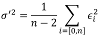
Here, the error is considered to be normally distributed around 0, with its standard deviation sigma and variance sigma squared. Variance provides at least a numerical insight into the error distribution; therefore, it should be considered as an indicator for further analysis. Unfortunately, the true value of sigma is not known; therefore, its estimated value should be used:

 Sigma estimate
Figure 12: Sigma estimate

Here, the variance estimated value's expected value equals the true variance value:

 Variance estimate
Figure 13: Variance estimate

[1] Everitt, B. S. (August 12, 2002). The Cambridge Dictionary of Statistics (2 ed.). Cambridge University Press. ISBN 978-0521810999.
[2] Upton, Graham; Cook, Ian (21 August 2008). Oxford Dictionary of Statistics. Oxford University Press. ISBN 978-0-19-954145-4.
[3] 3. Stigler, Stephen M (1997). “Regression toward the mean, historically considered”. Statistical Methods in Medical Research. 6 (2): 103-114. doi:10.1191/096228097676361431. PMID 9261910
[4] josephsalmon.eu/enseignement/TELECOM/MDI720/datasets/Galton.txt - Cited on 03.08.2024.
en/iot-reloaded/regression_models.1722688336.txt.gz · Last modified: 2024/08/03 12:32 by agrisnik
CC Attribution-Share Alike 4.0 International
www.chimeric.de Valid CSS Driven by DokuWiki do yourself a favour and use a real browser - get firefox!! Recent changes RSS feed Valid XHTML 1.0