This is an old revision of the document!


VREL #5: Roboarm IoT Laboratory

The laboratory is located at Silesian Technical University, Poland, Gliwice Akademicka 16, room 310.

Introduction

The lab consists of a mechanical robot arm with two degrees of freedom. Using two actuators user can change the position of the arm, especially, can move the tail section of the arm, at beside ground of the node. For a better impression on the ground, there are bricks on the rail, which can be pushed with the robotic arm left and right. You can observe the arm position via camera and also read its position via embedded IMUs (one per each movable piece of the arm).

Prerequisites

The user needs to know:

  • PWM control method,
  • working od servo-motors,
  • working of step-motors,
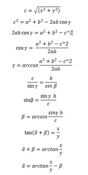
  • basic of inverse kinematics problem,
  • the way proximity sensor works,
  • the way IMU (particularily accelerometer) works.

Technical details

Robo arm is a set of two arms. The first part of the arm is fixed to the axle of step motors that is fixed to the “wall” of the laboratory. On the end of the first arm, there is a servo motor that drives the second, tail part of the arm. Thus, for full operation of the robot arm, user have to control for two different devices: step motor and servomotor. To control the position of the brick, on each end of rail (left and right wall), there is a binary proximity sensor, to recognize the utmost position of bricks. For feedback, the user can check the position of the arm using accelerometer sensors fixed on each arm (IMU).

Sensors

There are 4 sensors in the lab:

  • 2 accelerometer sensor on each part of the arm
  • 2 proximity sensor on bricks' rail

Actuators

There are two actuators: step motor and servomotor. Control of step-motos is simplified, using the dedicated proxy drive board. The user does not need to understand how the step motor works on the low level (i.e. control separate coils), because thanks for the proxy driver board, there are only two input: DIR and STEP, so the overall control process is simplified.

Software, libraries and externals

Communication

You can connect your ESP8266 microcontroller via its integrated WiFi interface to the separated IoT network. Then you can communicate with other, already connected devices and even provide some information to the cloud. In details, there is a dedicated MQTT broker waiting for you. You can also set up your own soft Access Point and connect another node directly to yours.

The communication among the devices can be done using MQTT messages, exchanging data among other nodes (M2M) and you can even push them to the Internet.

Reference data

Using your Node, you can access it and publish/subscribe to the messages once you connect your ESP to the existing wireless network (this network does not provide access to the global internet and is separated but please note there are other developers and IoT nodes connected to this access point:

  • SSID: internal.IOT
  • Passkey: IoTlab32768
  • Setup your microcontroller for DHCP, to automatically obtain an IP address, your ESP will obtain the address from the 192.168.90.X pool.
  • MQTT server is available under the fixed address: 192.168.90.5, and the credentials to publish/subscribe are:
    • User: vrel
    • Password: vrel2018

Limits

At the same time, only one user can be programming the node, although analysing the signal by others (unlimited number) the user makes sense. Model is provided to continuously work, without service breaks.

Robotic arm is a pretty powerful device and you can eventually break it if operated out of reasonable constraints (speed, momentum)

gabriel.drabik@polsl.pl

en/iot-open/remotelab/sut/roboarm.1572085858.txt.gz · Last modified: 2020/07/20 09:00 (external edit)
CC Attribution-Share Alike 4.0 International
www.chimeric.de Valid CSS Driven by DokuWiki do yourself a favour and use a real browser - get firefox!! Recent changes RSS feed Valid XHTML 1.0