en:av:f2_41.png

f2_41.png

f2_41.png

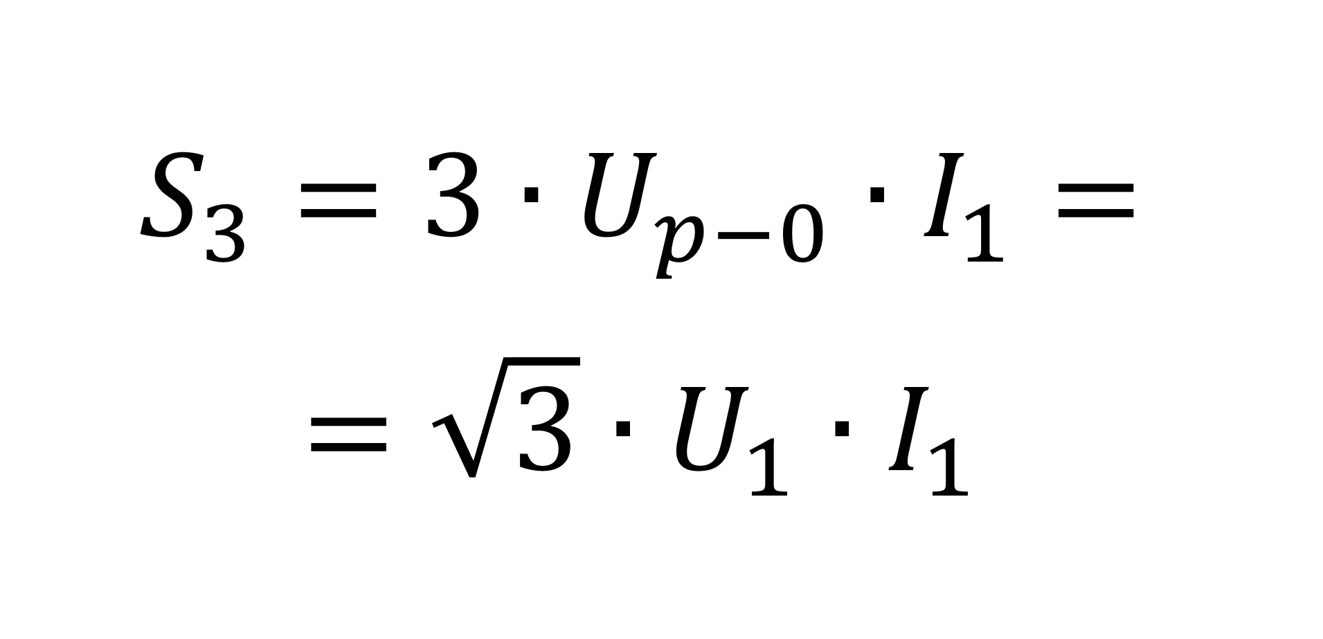
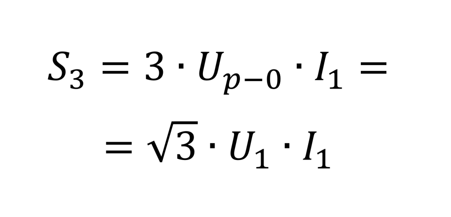
Overview of autonomous systems

Date::
2020/07/20 09:00
Filename::
f2_41.png
Format::
PNG
Size::
39KB
Width::
1911
Height::
923