en:av:f2_27.png

f2_27.png

f2_27.png

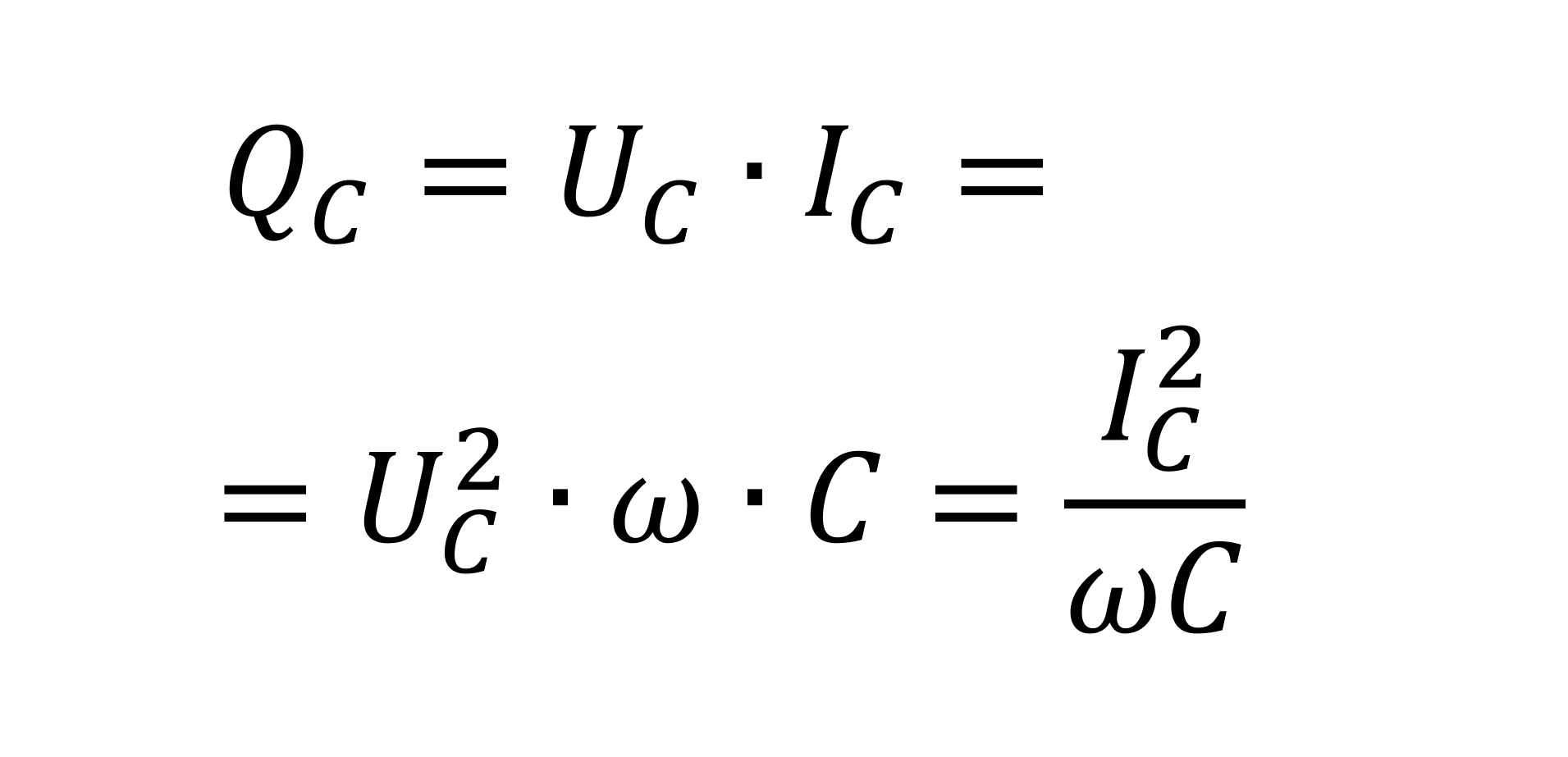
Overview of autonomous systems

Date::
2020/07/20 09:00
Filename::
f2_27.png
Format::
PNG
Size::
44KB
Width::
1911
Height::
923