en:av:f1_29.png

f1_29.png

f1_29.png

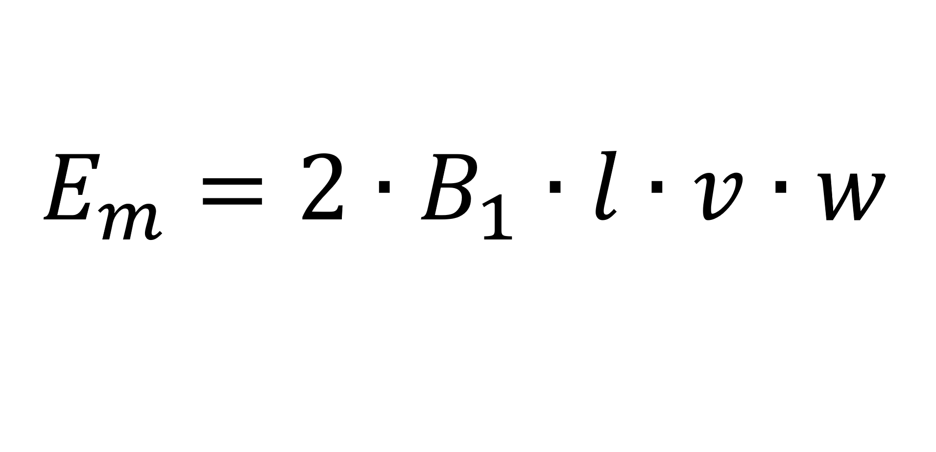
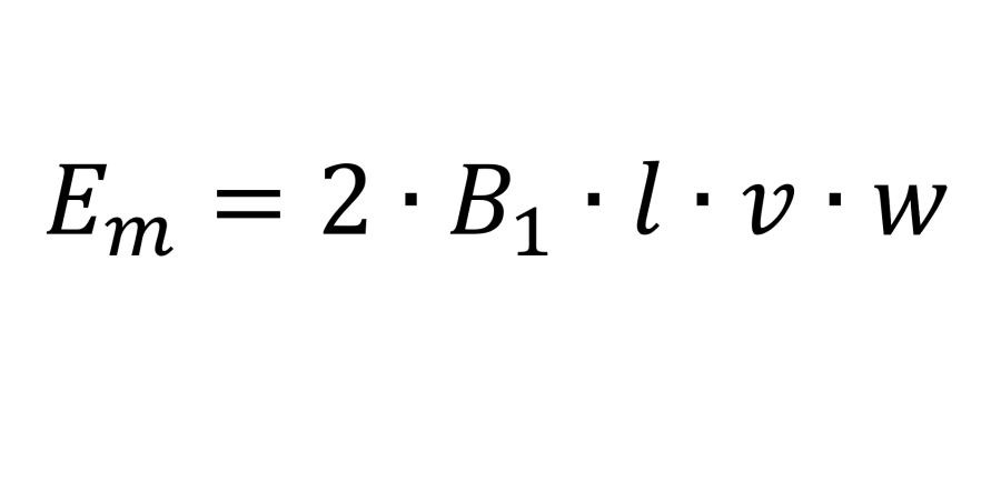
Overview of autonomous systems

Date::
2020/07/20 09:00
Filename::
f1_29.png
Format::
PNG
Size::
31KB
Width::
1911
Height::
923