en:av:add_5.png

add_5.png

add_5.png

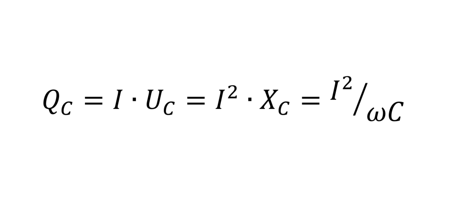
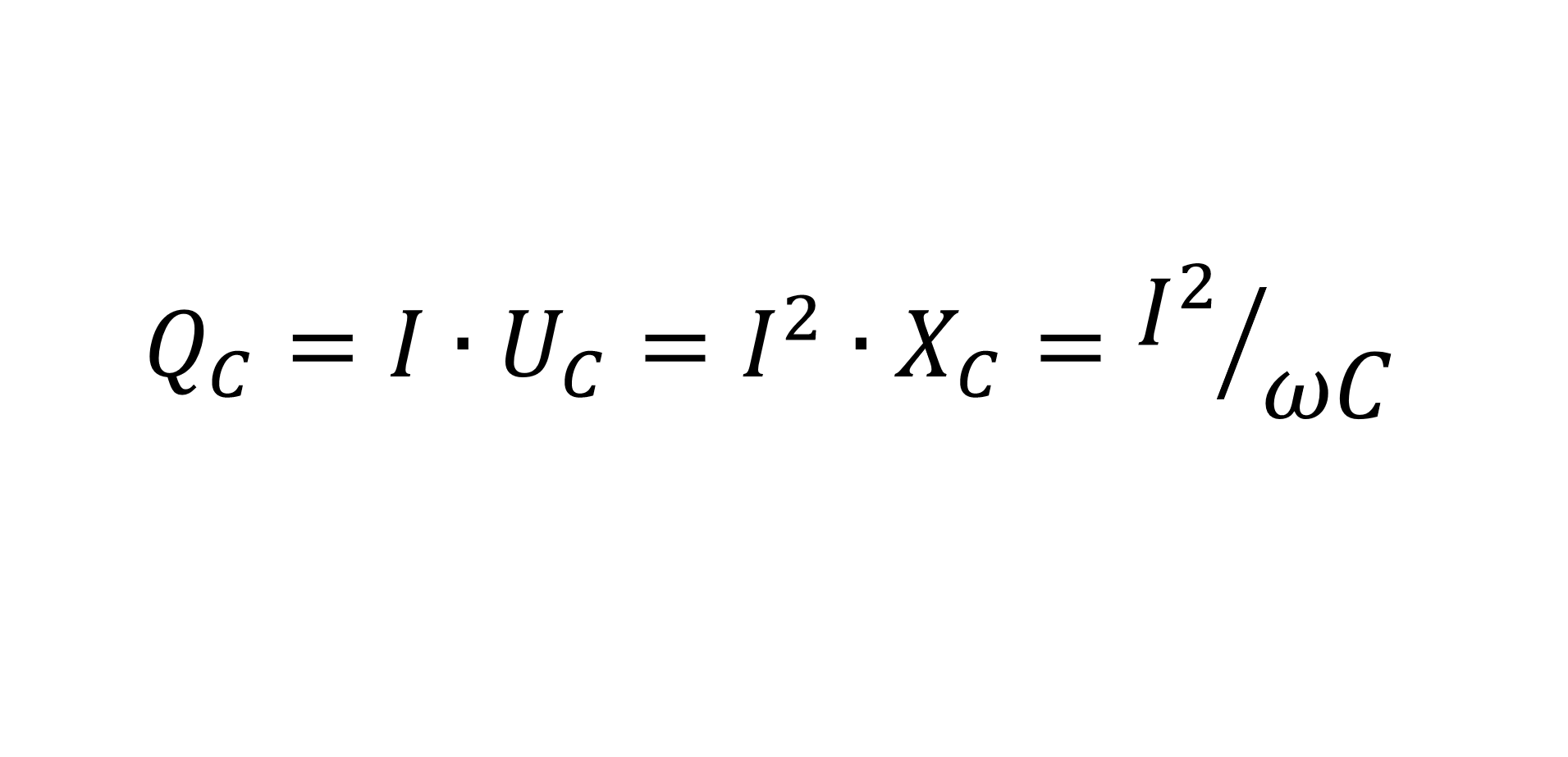
Overview of autonomous systems

Date::
2020/07/20 09:00
Filename::
add_5.png
Format::
PNG
Size::
27KB
Width::
1911
Height::
923