en:av:312f.png

312f.png

312f.png

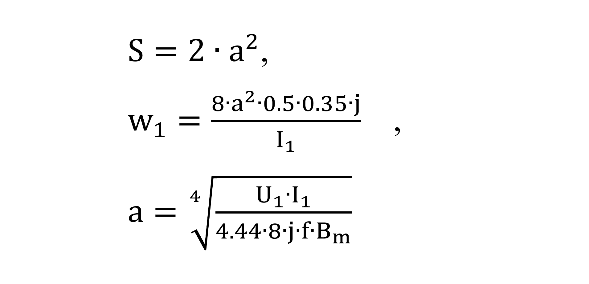
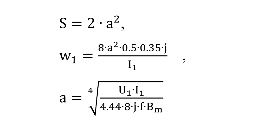
Overview of autonomous systems

Date::
2020/07/20 09:00
Filename::
312f.png
Format::
PNG
Size::
34KB
Width::
1911
Height::
923